помогите пожалуйста.
только сделать надо (б)
и ещё пожалуйста сделайте проверку пжжжж
Приложения:

Ответы
Ответ дал:
2
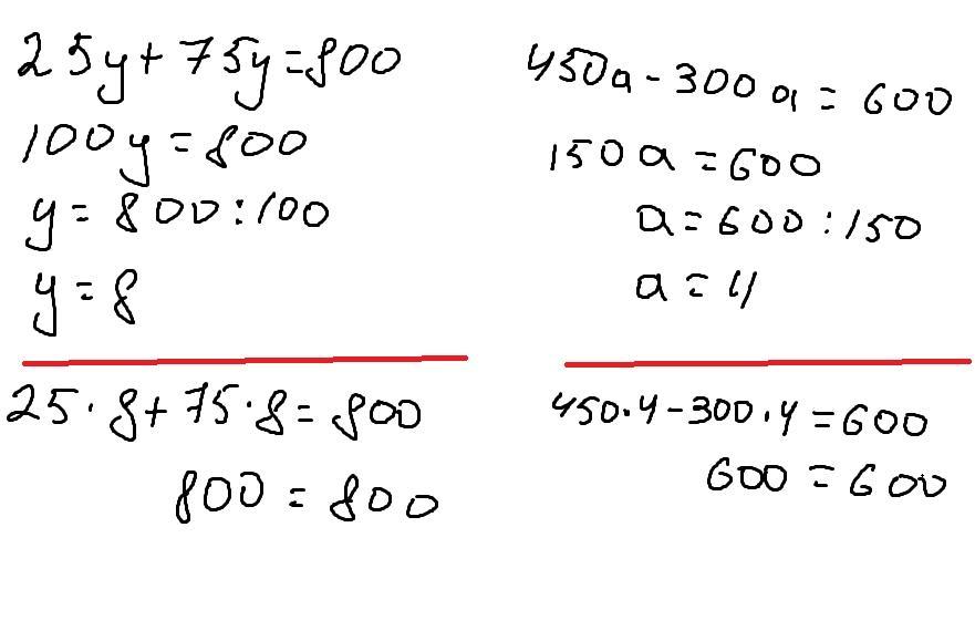
Ответ:
у=8, а=4
Пошаговое объяснение:
Приложения:


abdullahsodmonov31:
спасибо большое даже это с проверкой
Ответ дал:
1
Ответ:
вот тебе ответ наслаждаися
Приложения:

Вас заинтересует
2 года назад
2 года назад
2 года назад
2 года назад
8 лет назад
8 лет назад