• Предмет: Математика
  • Автор: NickName0611
  • Вопрос задан 3 года назад

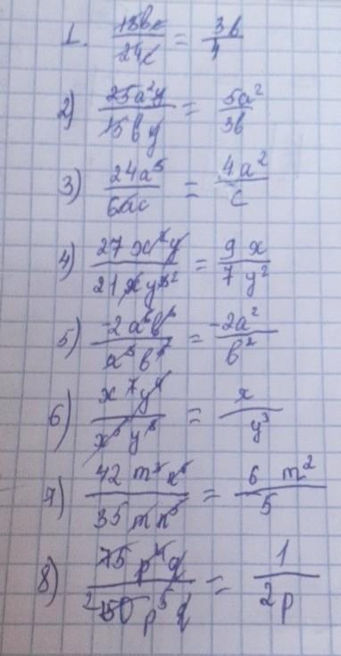
Помогите пожалуйста
Сократите алгебраические дроби ​

Приложения:

Ответы

Ответ дал: djsjaj853
0

Ответ:

.................,,,,,,,,,,,

Приложения:
Вас заинтересует