Ответы
Ответ дал:
1
Ответ:
Пошаговое объяснение:
На русском буду решать, если Вы не против
1) Т.к. среднее арифметическое равно 12, можно решить уравнение (см. первое фото) Неизвестное число равно 1
2) Здесь я обозначил разные цвета одежды разными цифрами. Например, две бейсболки это б1 и б2. Получилось 16 вариантов (см. 2 фото)
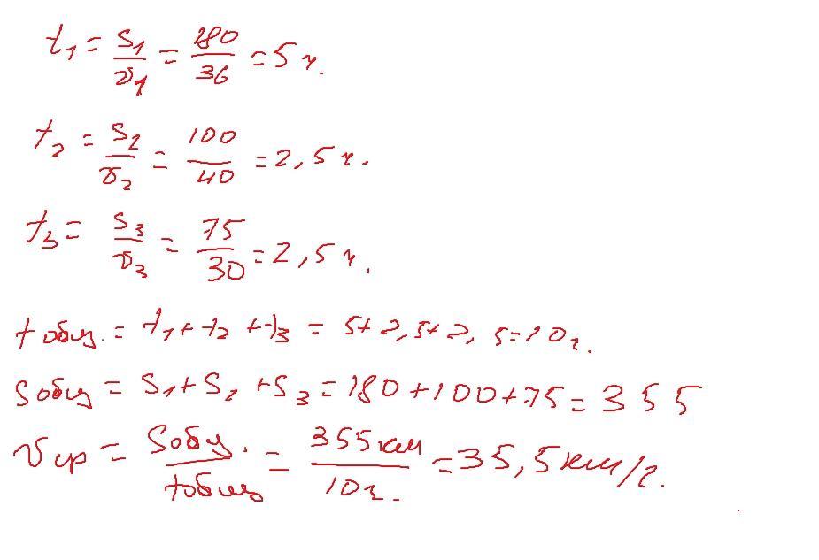
3) Так как все три отрезка разные, мы не можем найти среднее арифметитическое всех скоростей. Нам нужно найти время для каждого отрезка, общее расстояние и поделить расстояние на общее время. (см. 3 фото) Получилось 35.5 км/ч
Еще раз извиняюсь, казахского языка я не знаю
Приложения:



Вас заинтересует
2 года назад
2 года назад
8 лет назад
9 лет назад