• Предмет: Алгебра
  • Автор: deniska20062017
  • Вопрос задан 3 года назад

(x-1)+(x+2)-(1-3)(х+3)=22 розвяжить рівняння ​

Ответы

Ответ дал: EpicSans08
1

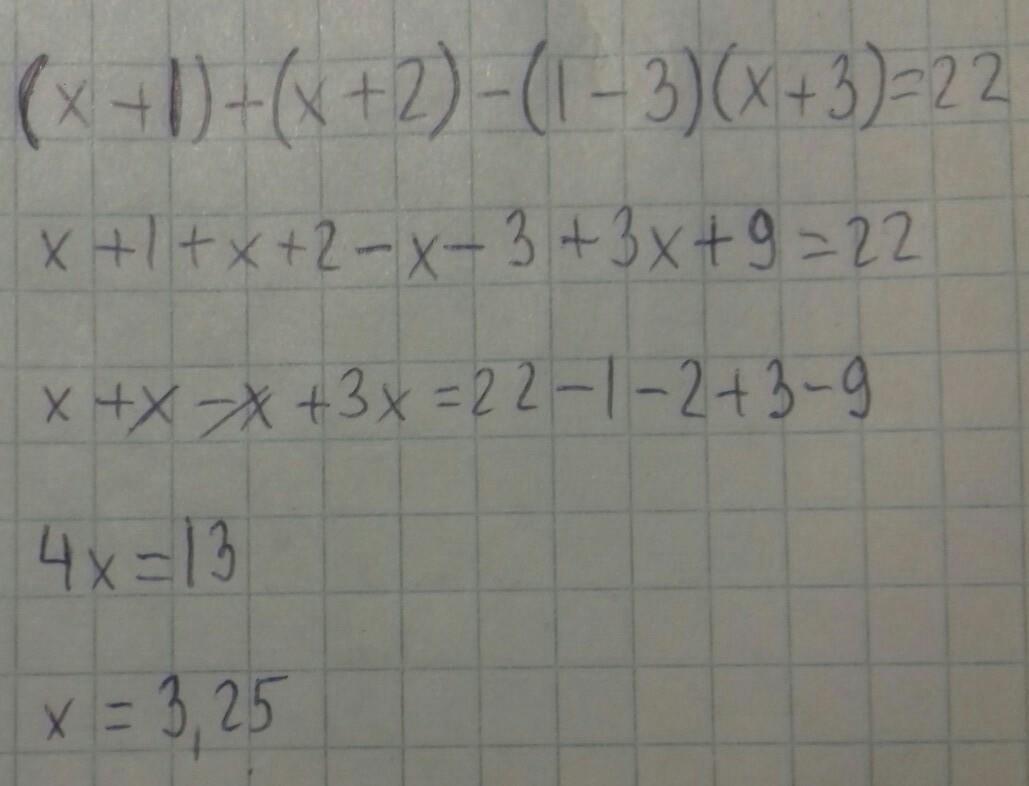
Ответ:

Ответ: 3,25

Объяснение:

Решение на фото

Приложения:

victoriabil: У першій дужці -
Ответ дал: victoriabil
0

Відповідь:

3,75

Пояснення:

(х-1)+(х+2)-(1-3)(х+3)=22

х-1+х+2-(х+3-3х-9)=22

х-1+х+2-х-3+3х+9=22

х+х-х+3х=22+1-2+3-9

4х=15

х=15/4

х=3,75

Вас заинтересует