• Предмет: Математика
  • Автор: katay9461
  • Вопрос задан 3 года назад

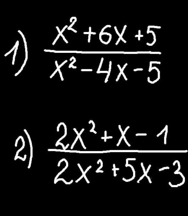
допоможіть будь ласка)​

Приложения:

Ответы

Ответ дал: vladskiba6
1

Ответ:

1) \frac{ \times  + 5}{ \times  - 5}   2)\frac{ \times  + 1}{ \times  + 3?}


katay9461: спасибо
Вас заинтересует