• Предмет: Математика
  • Автор: zakuvaev666
  • Вопрос задан 3 года назад

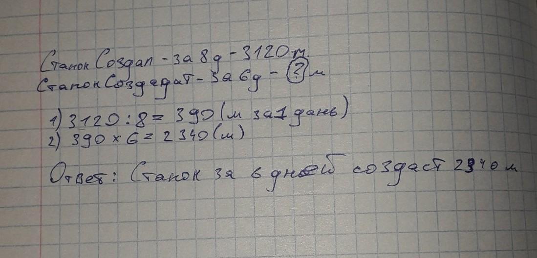
За 8 дней ткацкий станок производит 3120 метров ткани. Сколько метров ткани произвёл
этот станок за 6 дней?​

Ответы

Ответ дал: swim111
4

Ответ:

Ответ на фотографии ;))))))))))

Приложения:
Вас заинтересует