• Предмет: Математика
  • Автор: zhanel14011
  • Вопрос задан 3 года назад

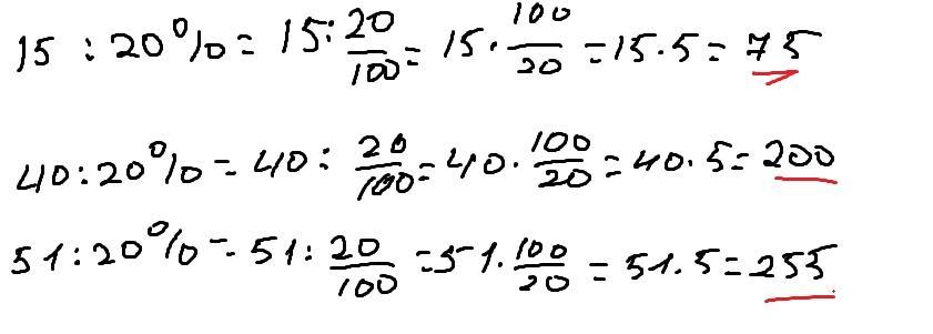
2) найдите число, 20 % которого равны 15, 40, 51.​

Ответы

Ответ дал: Человек999999
2

Ответ:

Пошаговое объяснение:

на фото

Приложения:

InaraHelper: я не поняла почему у него ответ первее моего стоит я первее сделала
Ответ дал: InaraHelper
2

Ответ:

75,200,255

Пошаговое объяснение:

здесь очень просто.самый легкий способ,так как как 20% это 1/5 можно число умножить на 5

Вас заинтересует