• Предмет: Алгебра
  • Автор: сендикат
  • Вопрос задан 11 лет назад

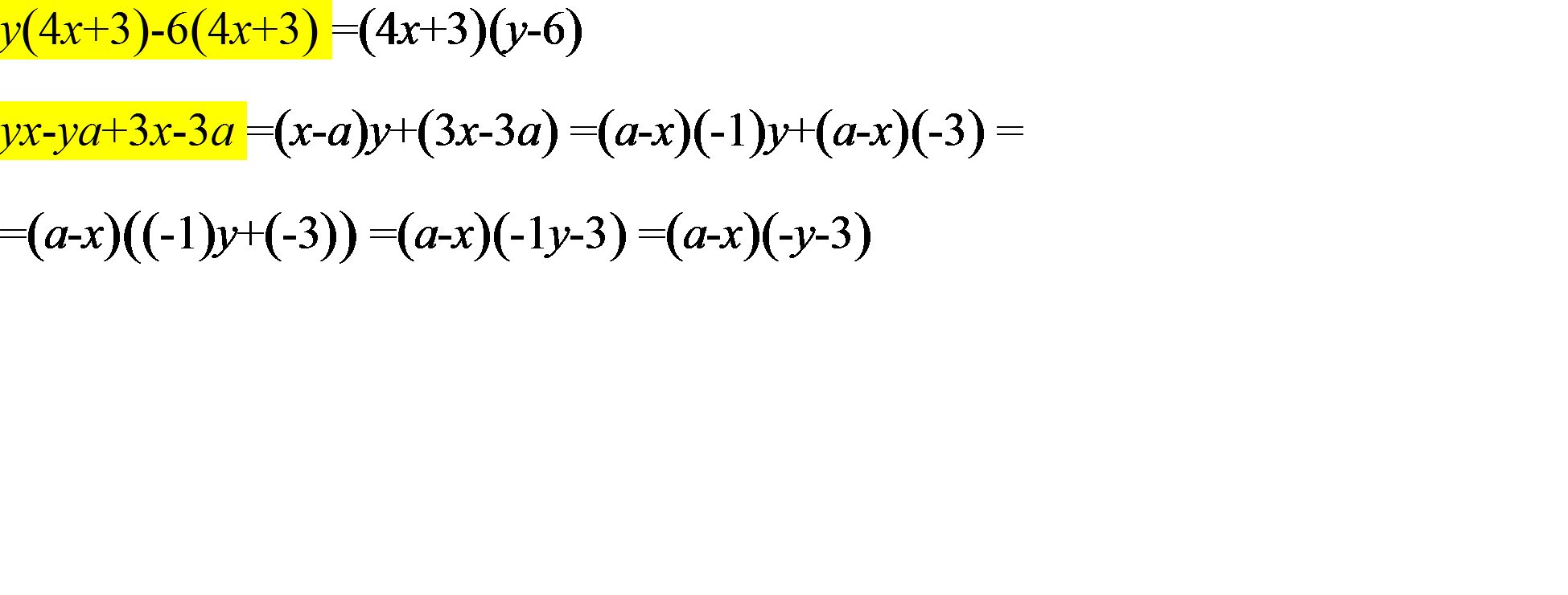
разложите на множители 

у(4х+3)-6(4х+3)

ух-уа+3х-3а

Ответы

Ответ дал: triolana
0

файл

-----------------------------

во втором файле,то что ты просил

Приложения:
Ответ дал: Heroi12345
0

(y-6)((4x) + 3) 

y(x-a)+3(x-a)=(y+3)(x-a)

Приложения:
Вас заинтересует