• Предмет: Математика
  • Автор: potyraymyhail
  • Вопрос задан 3 года назад

помогите кому не сложно пожалуйста ​

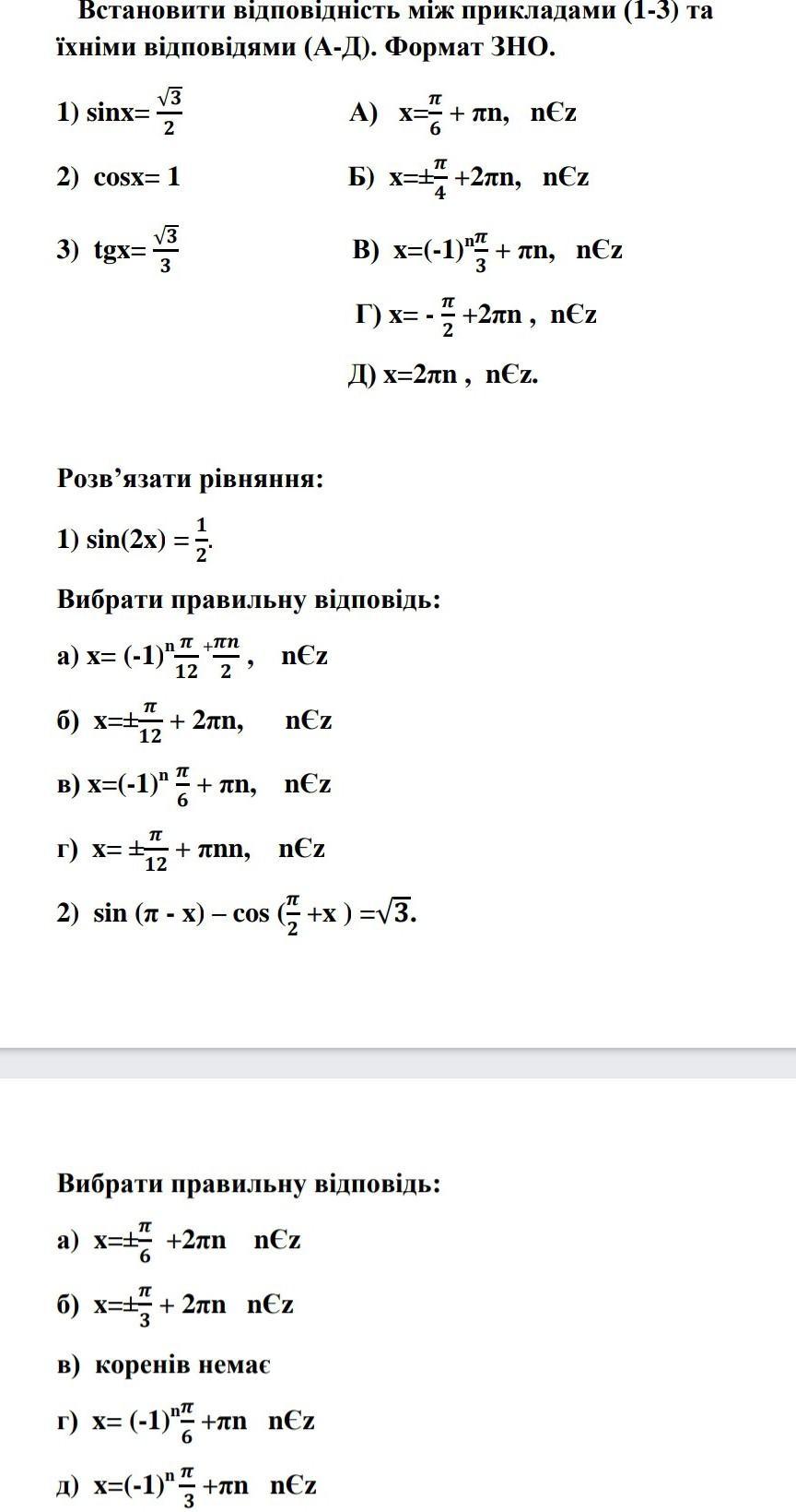
Приложения:

Ответы

Ответ дал: kyrbatoba
1

Ответ:в прикреплённом файле

Пошаговое объяснение:

Приложения:

potyraymyhail: спасибо
Вас заинтересует