• Предмет: Математика
  • Автор: kirllkatu
  • Вопрос задан 3 года назад

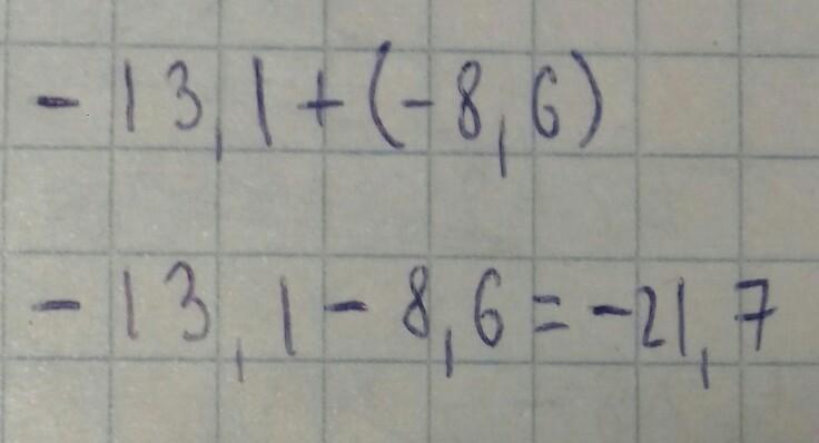
помогите выполните сложение :-13,1+(-8,6)​

Приложения:

mastunenkodenis: -13,1 + -8,6 = -21,7

Ответы

Ответ дал: EpicSans08
1

Ответ:

Ответ: -21,7

Пошаговое объяснение:

Решение на фото

Приложения:
Ответ дал: adelinakilmatova
0

Пошаговое объяснение:

-21.7 вот ответ на вопрос

Вас заинтересует