• Предмет: Математика
  • Автор: Snuppiman
  • Вопрос задан 3 года назад

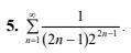
Исследовать сходимость числового ряда! Очень нужно!

Приложения:

Ответы

Ответ дал: pushpull
1

Ответ:

Пошаговое объяснение:

здесь тоже пользуясь свойствами прелелов исходное выражение можно упростить

\displaystyle  \lim_{n \to \infty} (2n-1) =  \lim_{n \to \infty} 2n

тогда

\displaystyle \frac{1}{2*2^{n-1}*n} =\frac{1}{4^n*n}

и теперь признак Даламбера

\displaystyle  \lim_{n \to \infty} \bigg (\frac{1}{4^{n+1}*(n+1)} :\frac{1}{4^n*n} \bigg )= \lim_{n \to \infty}  \frac{4^n*n}{4*4^n*(n+1) } =  \lim_{n \to \infty} \frac{n}{4n+4} =\frac{1}{4}

q < 1, то ряд сходится

Вас заинтересует