• Предмет: Математика
  • Автор: Аноним
  • Вопрос задан 11 лет назад

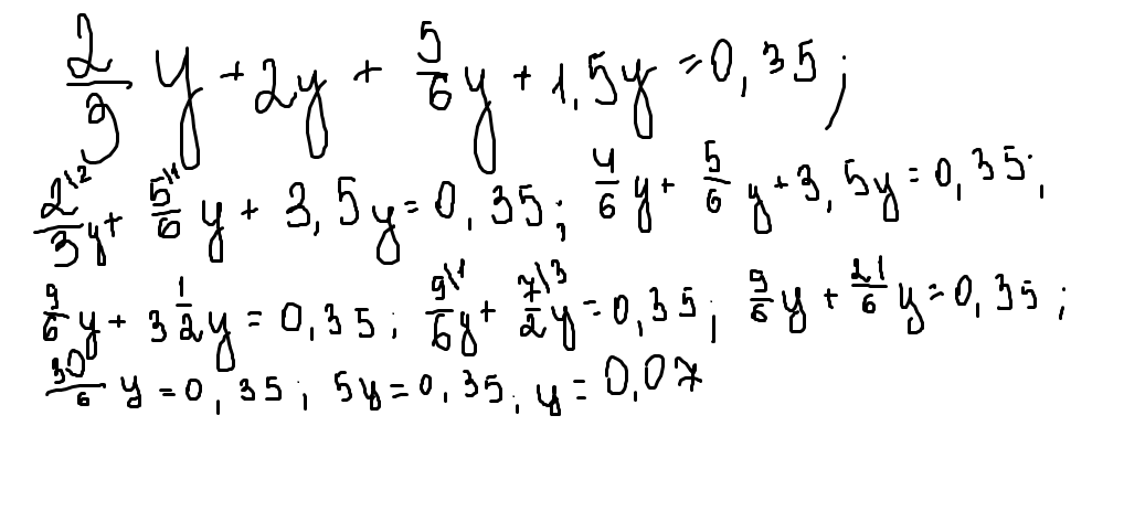
И етот 2/3 y+2y+5/6y+1,5y=0,35. /-ето дробовая полоса

Ответы

Ответ дал: cherry1
0
у меня получилось так:::::::::::::::::::::
Приложения:
Вас заинтересует