• Предмет: Математика
  • Автор: FailMi
  • Вопрос задан 3 года назад

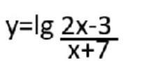
Помогите решить пожалуйста

Приложения:

Ответы

Ответ дал: dodogrft
0

Ответ:

неповню вроде

Пошаговое объяснение:

cosx+cosg*((2x-3)÷(x+7))

Вас заинтересует