• Предмет: Алгебра
  • Автор: Illias1
  • Вопрос задан 3 года назад

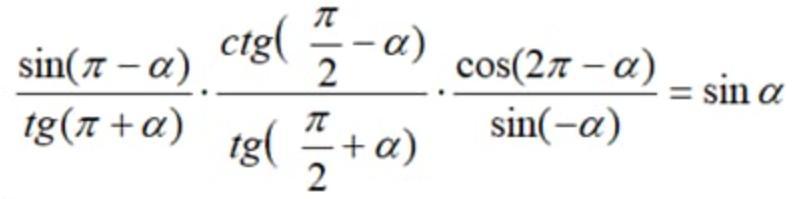
Спростити вираз або довести тотожність(фото). 50 балов.

Приложения:

Ответы

Ответ дал: NNNLLL54
1

Ответ:

\dfrac{sin(\pi -a)}{tg(\pi +a)}\cdot \dfrac{ctg(\frac{\pi}{2}-a)}{tg(\frac{\pi }{2}+a)}\cdot \dfrac{cos(2\pi -a)}{sin(-a)}=\dfrac{sina}{tga}\cdot \dfrac{tga}{-ctga}\cdot \dfrac{cosa}{-sina}=\\\\\\=\dfrac{cosa}{ctga}=\dfrac{cosa}{\dfrac{cosa}{sina}}=sina\\\\\\sina=sina

Вас заинтересует