• Предмет: Алгебра
  • Автор: hachmala
  • Вопрос задан 3 года назад

Вынесение общего множителя за скобки. Хелпаните,пожалуйста.

Приложения:

Ответы

Ответ дал: SadBonanza
1
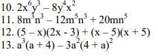
10. 2x^2y^3(x^3–4y)
11. 4mn^3(2m^2n–3m^4+5n^4)
12. (5–x)(2x–3)–(5–x)(x+5) далее (5–x)(2x–3–x–5)
13. a^2(a+4)(a–3(4+a))
^–значит возведение в степень
Ответ дал: wiktor1979
1

10. \:  \:  \:  \: 2x {}^{6} y {}^{3}  - 8y {}^{4} x {}^{2}  = 2x {}^{2} y {}^{3} (x {}^{4}  - 4y) \\ 11. \:  \:  \: 8m {}^{3} n {}^{3}  - 12m {}^{5} n {}^{3}  + 20mn {}^{5}  = 4mn {}^{3} (2m {}^{2}  - 3m {}^{4}  + 5n {}^{2} ) \\

12. \:  \:  \:  \: (5 - x)(2x - 3) + (x - 5)(x + 5) = 10x - 15 - 2x {}^{2}  + 3x + x {}^{2}  - 5 {}^{2}  =  - x {}^{2} + 7x  - 40

13. \:  \:  \:  \: a {}^{3} (a + 4) - 3a {}^{2} (4 + a) {}^{2}  = a {}^{4}  + 4a {}^{3}  - 3a {}^{2} (16 + 8a + a {}^{2} ) = a {}^{4}  + 4a {}^{3}  - 48a {}^{2}  - 24a {}^{3}  - 3a {}^{4}  =  - 2a {}^{4}  - 20a {}^{3}  - 48a {}^{2}  =  - 2a {}^{2} (a {}^{2}   + 10a + 24)

Вас заинтересует