• Предмет: Алгебра
  • Автор: ksheminska
  • Вопрос задан 3 года назад

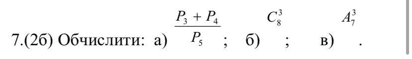
ОБЧИСЛІТЬ!!!!!!! БУДЬ ЛАСКАААА!!!!

Приложения:

sangers1959: a) 0,25; б) 56; в) 210.

Ответы

Ответ дал: ShizoFromAss
1

Вот ответы

А)1,2

Б)56

В)240


ksheminska: можна з поясненням ?
Ответ дал: funny3112
1

Ответ:

a) 7/5

1) p*3+p*4/p*5

2) 3p+4p/5p

3) 7p/5p

и ответ будет 7/5

б) 3/8с

с*3/8

и ответ 3/8с

в) 3/7а

а * 3/7

ответ 3/7а

Объяснение:

/ - это дробь

* - это умножить

Вас заинтересует