• Предмет: Алгебра
  • Автор: tikitoki30
  • Вопрос задан 3 года назад

Дано уравнение: (x−a)(x2−6x+5)=0.
Найди те значения a, при которых уравнение имеет три разных корня, и они образуют арифметическую прогрессию.

Вводи возможные значения a в возрастающей последовательности:
1.
2.
3.

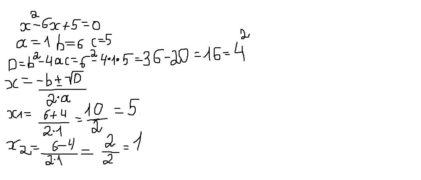
Дополнительный вопрос: чему равны корни квадратного уравнения?

x2−6x+5=0 (первым пиши меньший корень).

x1 =
; x2 =

Ответы

Ответ дал: 12fffff2007
0

Ответ:

x1=5 x2=1

Объяснение:

Приложения:

tikitoki30: Спасибо, а можно и первую часть вопроса? ^-^
Вас заинтересует