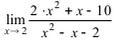
Вычислить пределы функций, не пользуясь средствами
дифференциального исчисления.Пожалуйста помогите,пошаговое решение.
Приложения:

Ответы
Ответ дал:
1
Ответ:
Пошаговое объяснение:
Приложения:

sergey453789:
Спасибо большое
Вас заинтересует
2 года назад
2 года назад
2 года назад
8 лет назад
9 лет назад
9 лет назад