• Предмет: Математика
  • Автор: amanaiym10
  • Вопрос задан 3 года назад

тендеуді шеш .6•(2х+3)-4•(2х-4)​

Ответы

Ответ дал: EpicSans08
0

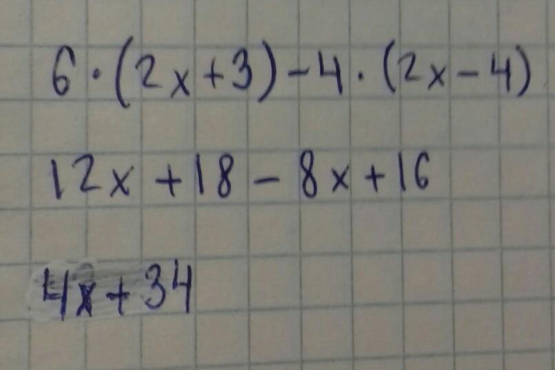
Ответ:

Ответ: 4x+34

Пошаговое объяснение:

Решение на фото

Приложения:
Ответ дал: tamarabobikova
0

Ответ:38

Если я не ошибаюсь

Вас заинтересует