• Предмет: Алгебра
  • Автор: bulatova56r
  • Вопрос задан 3 года назад

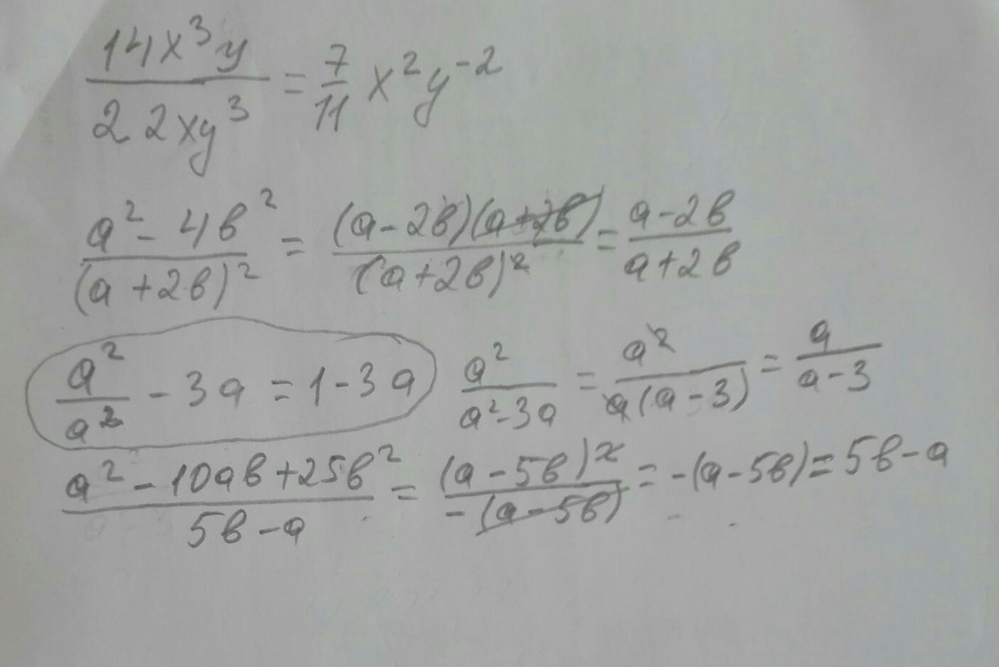
Сократите дроби:

14x^3y/22xy^3=

a^2-4b^2/(a+2b)^2=

a^2/a^2-3a=

a^2-10ab+25b^2/5b-a=​

Ответы

Ответ дал: s1051966
1

Ответ:

Сократите дроби:

14x^3y/22xy^3=

a^2-4b^2/(a+2b)^2=

a^2/a^2-3a=

a^2-10ab+25b^2/5b-a=

Приложения:

Аноним: Можете помочь с алгеброй?
Аноним: https://znanija.com/task/43893151
Вас заинтересует