поможіть срочно 50 балів
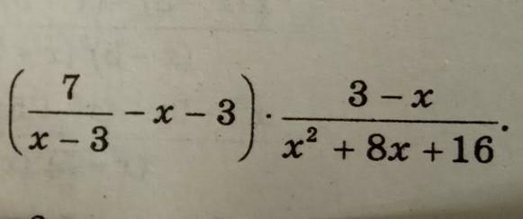
потрібно спростити вираз
Приложения:

Simba2017:
в скобках в числителе будет 7--x^2+9=16-x^2=(4-x)(4+x)
Ответы
Ответ дал:
1
Ответ:
Смотри решение на фото
Приложения:

Вас заинтересует
2 года назад
2 года назад
2 года назад
8 лет назад
9 лет назад
9 лет назад