Ответы
Ответ дал:
0
Ответ:
А) 7х + 2,4=34,6.
Перенесем слагаемое без х в правую часть уравнения:
7х=34,6-2,4;
7х=32,2;
х=32,2:7;
х=4,6.
Ответ: корень уравнения х=4,6.
Б) (у-1,8):8=0,7.
Вычислим, чему равняется значение в скобках:
(у-1,8)=0,7*8;
(у-1,8)=5,6.
Раскроем скобки:
у-1,8=5,6;
у=5,6+1,8;
у=7,4.
Ответ: корень уравнения у=7,4.
Ответ дал:
1
Ответ:
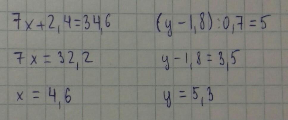
Ответы: 4,6 и 5,3
Объяснение:
Решение на фото
Приложения:

Вас заинтересует
2 года назад
2 года назад
2 года назад
8 лет назад
9 лет назад
9 лет назад