• Предмет: Математика
  • Автор: Аноним
  • Вопрос задан 3 года назад

(а+b) × 5 + 9a + 3b = ?
13 × (a + b) - 7b + 4a = ?
6 × (x + a) - 5a = ?
30x - (5x + 4x) = ?
Пж помогите найти. Пж пж.


Аноним: Упрости выражения.
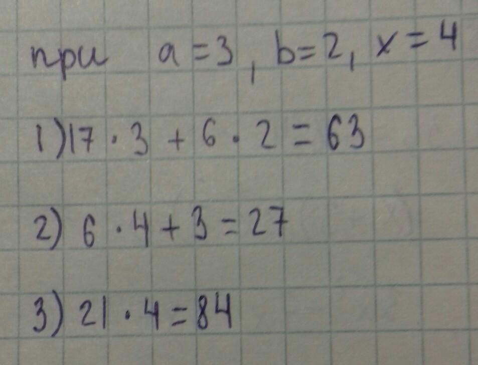
Аноним: Найди значения при а = 3, b = 2, x = 4.
EpicSans08: ок сейчас
hairtmaratbekov: мне кажется тут есть 3 крутых человека да не не кажется

Ответы

Ответ дал: EpicSans08
8

Ответ:

Решение на фото

Пошаговое объяснение:

.......

Приложения:

Аноним: Спс
EpicSans08: не за что
kaussikk: где 4 ?
hairtmaratbekov: хаб тфю ладно шутка спс
Ответ дал: LillianaPoarch
10

(3 + 2) \times 5 + 9 \times 3  \times 3 + 3 = 60 \\  \\ 13 \times (3 + 2) - 7 \times 2 + 4 \times 3 = 15 \\  \\ 6 \times (4 + 3) - 5  \times  3 = 27 \\  \\ 30 \times 4 - (5 \times 4 + 4 \times 4) = 84


Аноним: Спс
gmakhametova27: спасибо большое получила10/10
hairtmaratbekov: спс
879089: спасибо
Вас заинтересует