• Предмет: Математика
  • Автор: khlopkovalexander
  • Вопрос задан 3 года назад

Решите уравнения пожалуйста
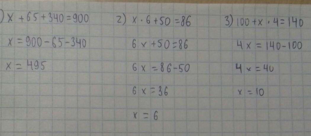
x+65+340=900
x*6+50=86
100+x*4=140

Ответы

Ответ дал: EpicSans08
0

Ответ:

Ответы:495; 6 и 10

Пошаговое объяснение:

Решение на фото

Приложения:
Вас заинтересует