• Предмет: Алгебра
  • Автор: ioeion268
  • Вопрос задан 3 года назад

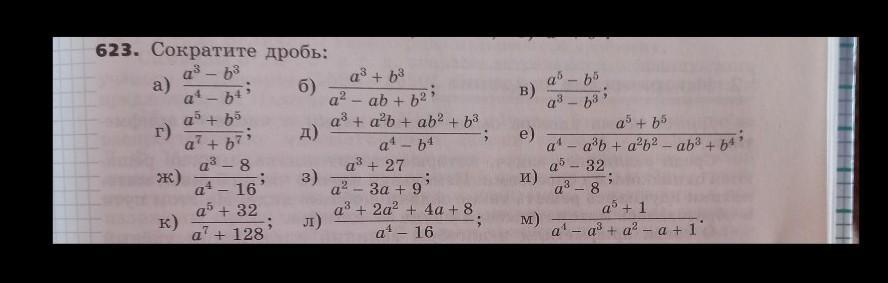
помогите прошу номер 623 ​

Приложения:

Ответы

Ответ дал: gost199
0

Ответ:

Photomath - приложение для математики, решает почти все!)

Вас заинтересует