• Предмет: Геометрия
  • Автор: Egor4245
  • Вопрос задан 3 года назад

ДАМ 60 БАЛЛОВ!!!!
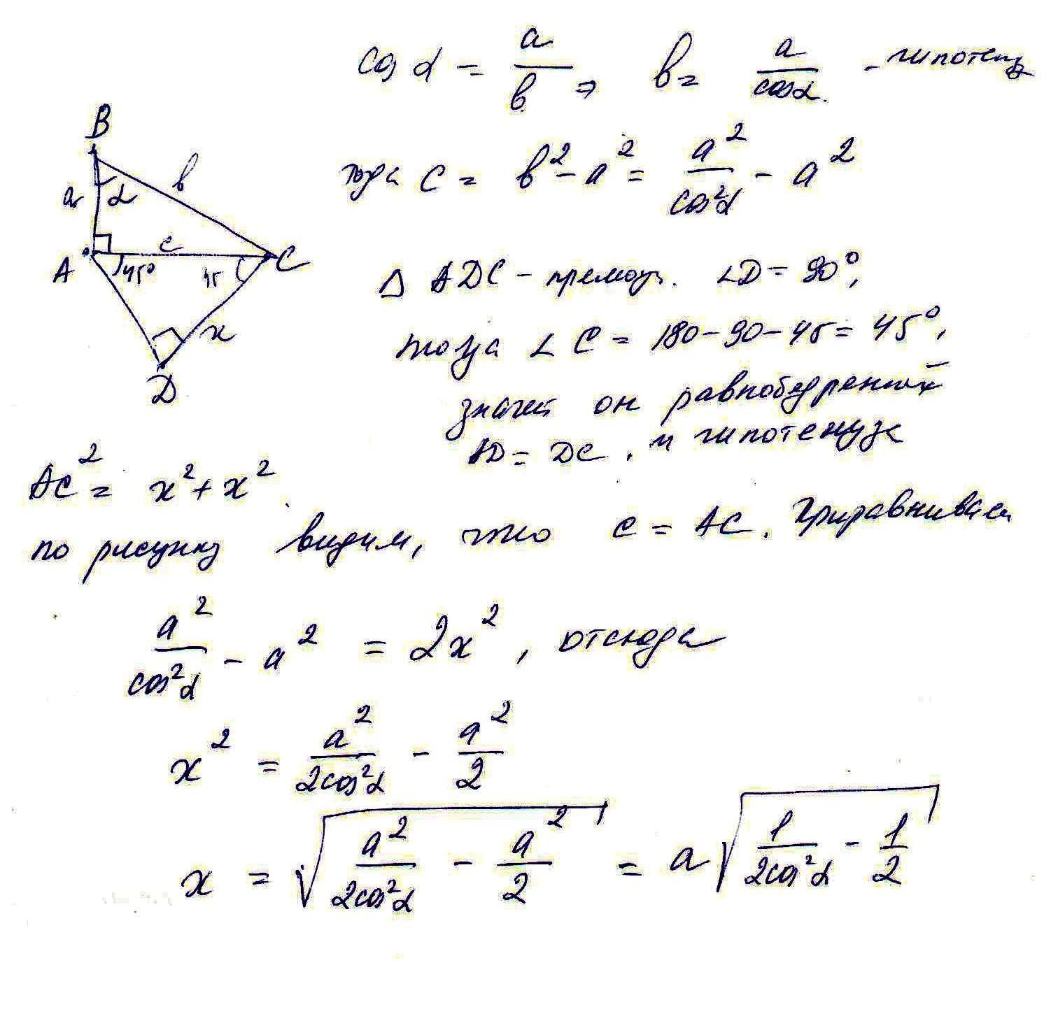
Найдите длинну отрезка x
С обьяснениями!!!

Приложения:

Ответы

Ответ дал: mioks
1

Ответ:

Объяснение:

на фото

Приложения:
Вас заинтересует