• Предмет: Алгебра
  • Автор: Choknutay
  • Вопрос задан 3 года назад

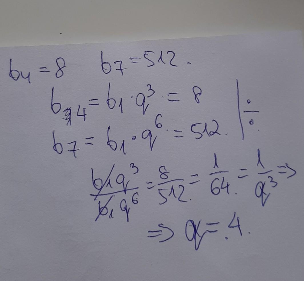
СРОЧНО ПОМОГИТЕ РЕШИТЬ. Геометричная прогресия. Задание на фото. Заранее благодарю ​

Приложения:

Ответы

Ответ дал: olekksandra
0

Ответ:

отже знаменник прогресії є 4

Приложения:
Вас заинтересует