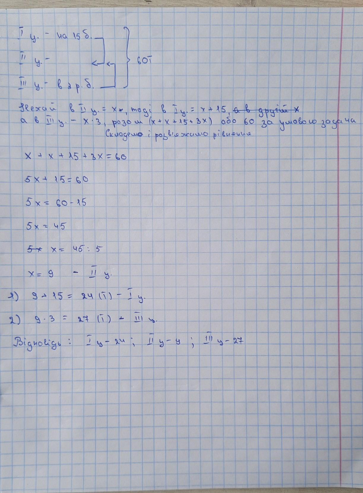
В трьох цистернах 60 т бензину. В першій цистерні на 15т більше, ніж в другій, а в третій – в 3 рази більше, ніж в другій. Скільки тонн бензину в першій цистерні?
В трьох цистернах 60 т бензину. В першій цистерні на 15т більше, ніж в другій, а в третій – в 3 рази більше, ніж в другій. Скільки тонн бензину в першій цистерні?
срочно дам 30 балов с решением и с уравнерием
jekadva:
x + x+15 + 3x = 60
Ответы
Ответ дал:
5
Ответ:9т
Пошаговое объяснение:первая цистерна - х+15
вторая - х
третья - 3х
х+15+х+3х = 60
5х = 60-15
5х = 45
х = 9 т топлива во второй цистерне
Ответ дал:
9
Ответ:
в первой цестерне - 24т
во второй- 9т
в третей- 27 т
Приложения:

Вас заинтересует
2 года назад
2 года назад
2 года назад
8 лет назад
8 лет назад
9 лет назад