• Предмет: Математика
  • Автор: Аноним
  • Вопрос задан 3 года назад

(34-2)÷x=8
pomogite pozhalusta​


devochka783: Помогите пожалуйста сделать алгебру

Ответы

Ответ дал: EpicSans08
1

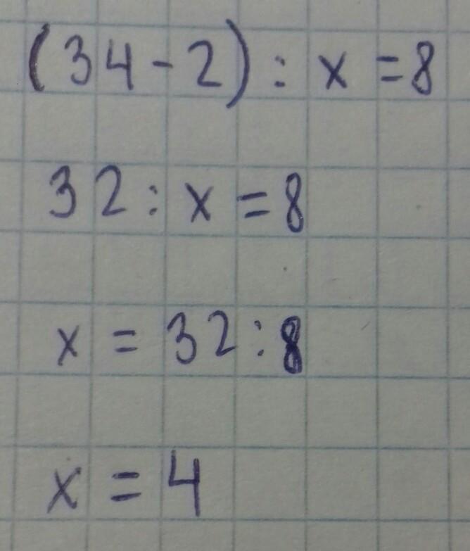
Ответ:

Ответ: 4

Пошаговое объяснение:

Решение на фото

Приложения:
Ответ дал: ekaterina13041989
1

Ответ:

(34-2)÷х=8

32÷х=8

х=32÷8

х=4

(34-2)÷4=8

8=8

Вас заинтересует