• Предмет: Математика
  • Автор: paskalovmark
  • Вопрос задан 3 года назад

Правильно перенесені доданки в рівнянні 5х - 3 = - 4 + 2х СРОЧНО ОТВЕТ!!!


1)5х +2х = - 4 - 3


2)5х -2х = - 4 + 3


3)5х + 2х = - 4 + 3

Ответы

Ответ дал: EpicSans08
2

Ответ:

Ответ: 2)

Пошаговое объяснение:

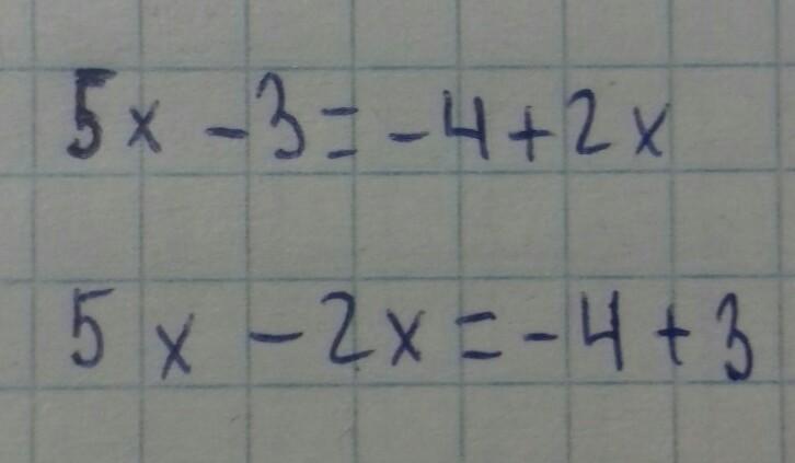
Решение на фото

Приложения:
Ответ дал: MyPotter
1

Ответ:

Правильный ответ:

2) 5х -2х = - 4 + 3

Вас заинтересует