• Предмет: Математика
  • Автор: chernova1003
  • Вопрос задан 3 года назад

Срочноооо!!!!!!!!!!!

Приложения:

Ответы

Ответ дал: qquite
1

Ответ:

Пошаговое объяснение:

Приложения:
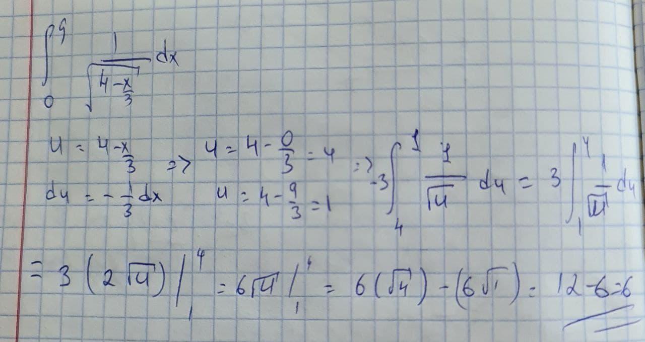
Ответ дал: Alexandr130398
1

Ответ:

6

Пошаговое объяснение:

\int\limits^9_0  \frac{dx}{\sqrt{4-\frac{x}{3} }} =\begin{vmatrix} 4-\frac{x}{3} =t ; &  dx=-3dt  \\ \frac{x}{3} =4-t ; & t_1=4-\frac{x_1}{3}=4-\frac{0}{3} =4 \\ x=12-3t;  & t_2=4-\frac{x_2}{3}=4-\frac{9}{3} =1\end{vmatrix} = \int\limits^1_4 {\frac{-3dt}{\sqrt{t}} }= -3\int\limits^1_4 {\frac{dt}{\sqrt{t}} }= \\ \\ -3\cdot 2\sqrt{t} \ |^1_4=-6(\sqrt{1} -\sqrt{4} )=-6(1-2)=6

Вас заинтересует