• Предмет: Алгебра
  • Автор: stassbulgakow
  • Вопрос задан 3 года назад

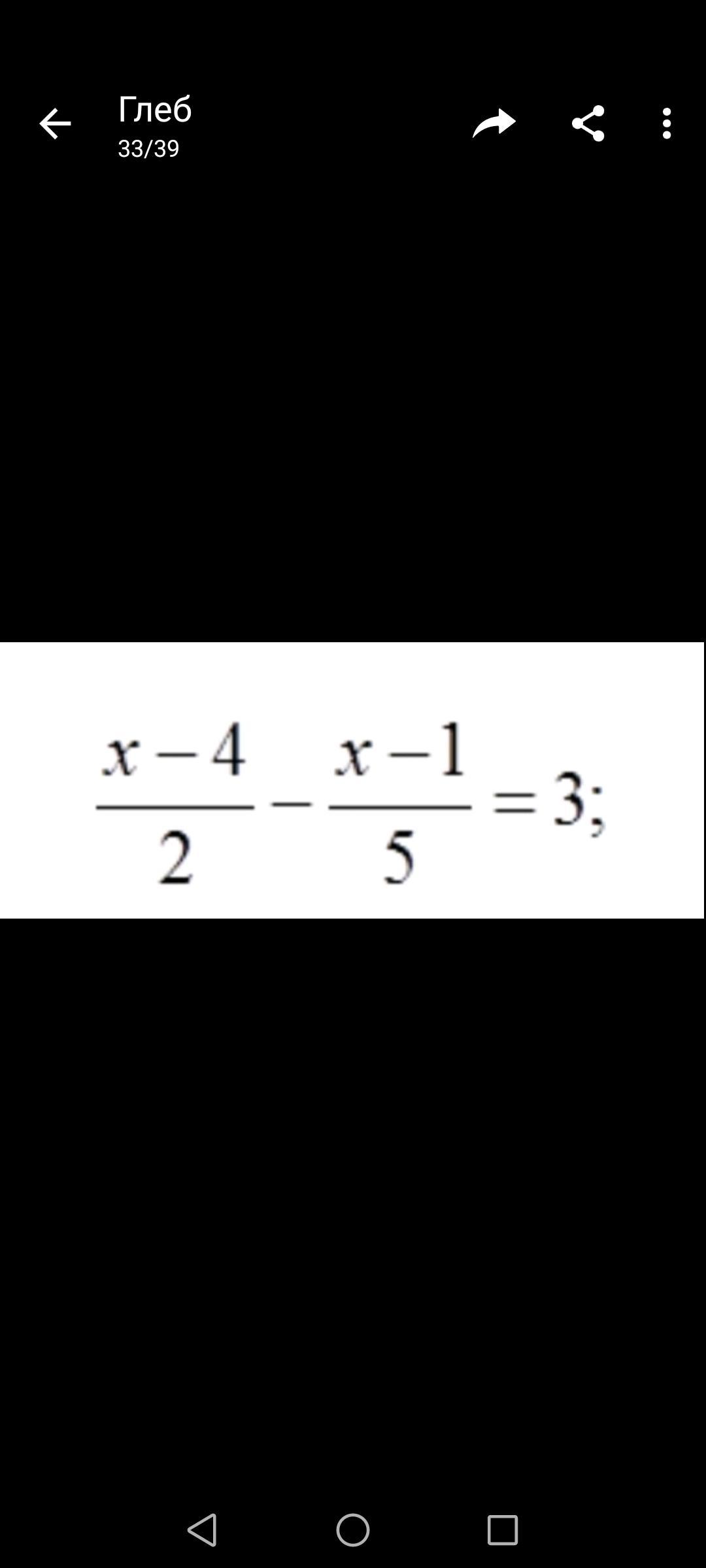
Помогите с решением плиззззз

Приложения:

Ответы

Ответ дал: pandakavaj87
0

Ответ:

X = 16

Объяснение:

общий знаменатель 10 5^ * (X-4)-2^ * (X-1)=3^ * 105x - 20 - 2x + 2 = 30 3X = 48 X = 48/3 X = 16

Ответ дал: zefirkaunikorn
1
Вот х=16 весь ответ с решением
Приложения:
Вас заинтересует