Первый рабочий за час делает на 10 деталей больше, чем второй, и выполняет заказ,
состоящий из 60 деталей, на 3 часа быстрее, чем второй рабочий, выполняющий такой же
заказ. Сколько деталей в час делает второй рабочий?
Ответы
Ответ дал:
2
Ответ:
10
Объяснение:
10*2=20 деталей делает первый рабочий за час
20*3=60 деталей делает первый рабочий за 3 часа
20:2=10 деталей делает второй работник за час, то есть в да раза меньше чем первый
Ответ дал:
2
Ответ:
Объяснение:
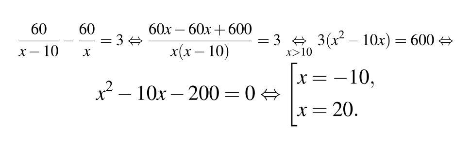
Пусть x — число деталей, изготавливаемых первым рабочим за час, x больше 10, тогда x минус 10 — число деталей, изготавливаемых вторым рабочим за час.
Так как первый рабочий справляется с работой на 3 часа быстрее, составим уравнение:
⬇️
Отрицательный корень уравнения не удовлетворяет условию, тогда остаётся 20.
20-10=10
Приложения:


Вас заинтересует
2 года назад
2 года назад
2 года назад
8 лет назад
8 лет назад
9 лет назад