• Предмет: Алгебра
  • Автор: agapovkia
  • Вопрос задан 3 года назад

Помогите с алгеброй, кто разбирается, пожалуйста

Приложения:

Vopoxov: как срочно?
agapovkia: Было бы неплохо до завтра

Ответы

Ответ дал: Vopoxov
0

Ответ:

1.

n  = 16

2.

a = a_1 = {-}3; \: \\ a = a_2 = 3; \: \\ a = a_3 = 9

Ответ на доп. вопрос

x_1 = 1; \\ x_2= 5

Объяснение:

1)

 -10,2; -9,5...  \\ a_1 = -10,2;  \\ b = ({-}9,5) {-}({-}10,2) = \\  =  10,2 - 9,5 = 0,7 \\ a_n = a_1  +  (n-1)\cdot b. \\ a_n > 0 <=> \: a_1   +  (n-1)\cdot b>0  \\ -10,2 + (n-1)\cdot  0,7>0 \\   (n-1)\cdot 0,7>10,2  \\  n-1> \frac{10,2}{ 0,7} = \frac{102}{ 7} = 14 \frac{4}{7}  \\ n > 15 \frac{4}{7}  =  >  \:  \min(n \in { \N } )= 16

А значит, минимальный номер члена прогрессии = 16

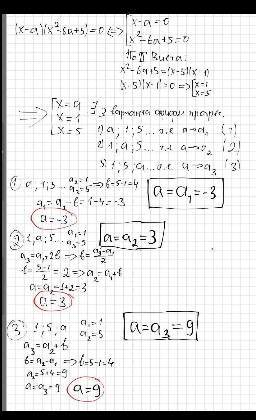
2) Решение - см. приложенный файл.

a = a_1 = {-}3; \: \\ a = a_2 = 3; \: \\ a = a_3 = 9

Ответ на дополнительный вопрос:

x_1 = 1; \\ x_2= 5

Приложения:
Вас заинтересует