• Предмет: Математика
  • Автор: ghdshjsa
  • Вопрос задан 3 года назад

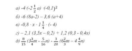
СРОЧНО ПРОШУ ПОЖАЛУЙСТА ПОМОГИТЕ!!!!

Приложения:

Ответы

Ответ дал: Adlem
0

Ответ:

a)\frac{1}{10}a

б) -51,6a-2,4

в)4х

г)-7,83+0,78

д)m+\frac{1}{2}n

Ответ дал: tanapilipenko222
0
...:..................
Приложения:
Вас заинтересует