• Предмет: Математика
  • Автор: katyakot0372
  • Вопрос задан 3 года назад

Помогите пожалуйста СРОЧНО
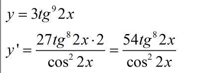
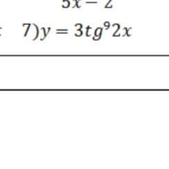
Найдите производную

Приложения:

Ответы

Ответ дал: palilov243659
0

Ответ:

Пошаговое объяснение:

это производная сложной функции= произведению константы 3 на производную степени 9tg⁸2x, на производную тангенса 1/cos²2x и на производную линейной функции 2

Приложения:
Вас заинтересует