• Предмет: Математика
  • Автор: sashaizomska
  • Вопрос задан 3 года назад

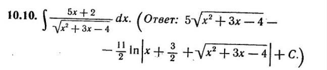
решите интеграл
спасите,помогите​

Приложения:

Ответы

Ответ дал: Miroslava227
1

Ответ:

\int\limits \frac{5x + 2}{ \sqrt{ {x}^{2}  + 3x - 4} } dx \\

В числителе делаем производную знаменателя: 2х+3

 \frac{5}{2} \int\limits \frac{ \frac{2}{5} (5x + 2)}{ \sqrt{ {x}^{2} + 3x - 4 } } dx =  \frac{5}{2}  \int\limits \frac{2x +  \frac{4}{5} }{  \sqrt{ {x}^{2}  + 3x - 4}  }  dx= \\  =  \frac{5}{2} \int\limits \frac{2x + 3 -  \frac{11}{5} }{ \sqrt{ {x}^{2}  + 3x - 4} } dx =   \\   =  \frac{5}{2} \int\limits \frac{2x + 3}{ \sqrt{ {x}^{2} + 4x - 3 } } dx -  \frac{5}{2}  \times  \frac{11}{5} \int\limits \frac{dx}{ \sqrt{ {x}^{2}  + 3x  - 4} }  =  \\  =  \frac{5}{2} \int\limits \frac{d( {x}^{2} + 3x - 4) }{ {( {x}^{2}  + 3x - 4)}^{ \frac{1}{2} } } dx -  \frac{11}{2} \int\limits \frac{dx}{ \sqrt{ {x}^{2}   + 2\times x \times  \frac{3}{2}  +  \frac{9}{4} -  \frac{25}{4}  } }  =  \\  =  \frac{5}{2}  \times  \frac{ {( {x}^{2}  + 3x - 4)}^{ \frac{1}{2} } }{ \frac{1}{2} }  -  \frac{11}{2} \int\limits \frac{dx}{ \sqrt{ {(x +  \frac{3}{2}) }^{2}  -  {( \frac{5}{2}) }^{2} } }  =  \\  = 5 \sqrt{ {x}^{2} + 3x - 4 }  -  \frac{11}{2} \int\limits \frac{d(x +  \frac{3}{2} )}{ \sqrt{ {(x +  \frac{3}{2}) }^{2} -  {( \frac{5}{2} )}^{2}  } }  =  \\  = 5 \sqrt{ {x}^{2}  + 3x - 4}  -  \frac{11}{2}  ln( |x +  \frac{3}{2} +  \sqrt{ {x}^{2}  + 3x - 4}  | )  + C

Вас заинтересует