• Предмет: Математика
  • Автор: apmemlas67op
  • Вопрос задан 3 года назад

Даю 15 балов
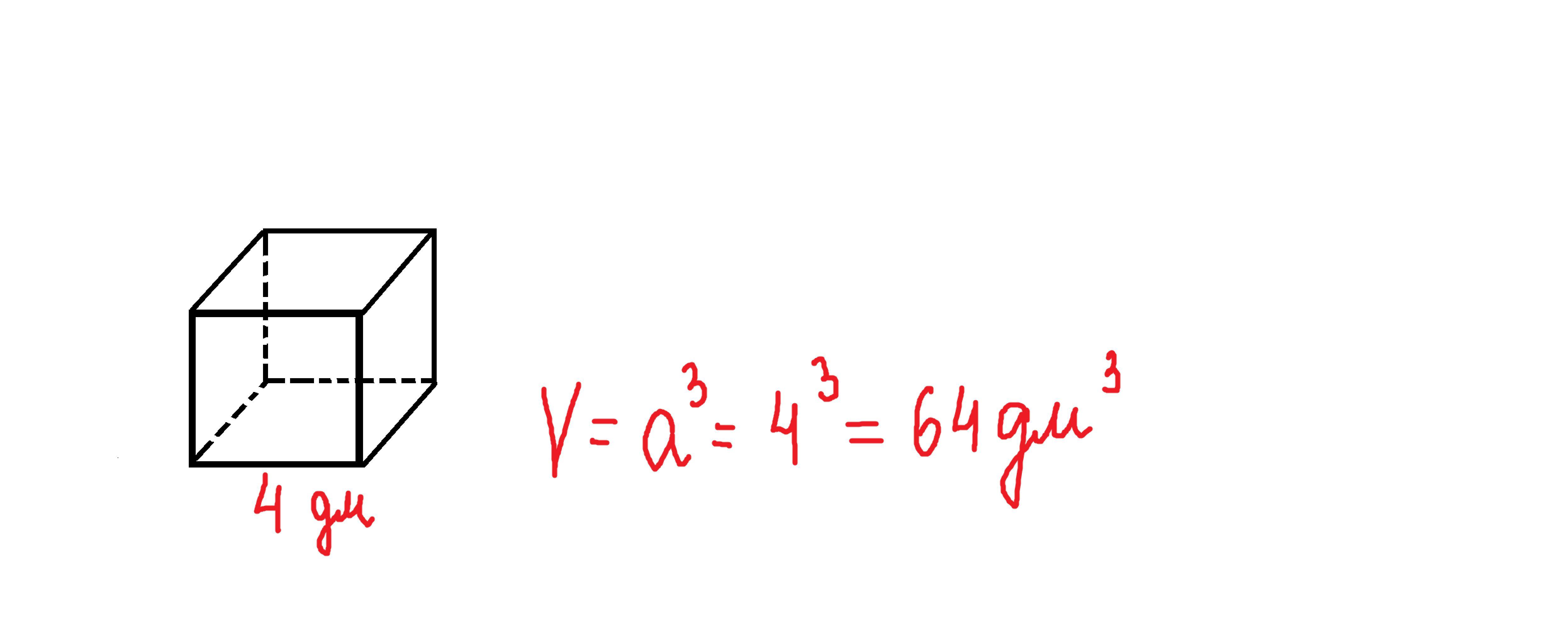
Нарисуйте куб. Запишите формулу объёма куба V со стороной а. Вычислите объём куба V, если длина стороны куба a= 4 дм.

Ответы

Ответ дал: parus77
0

Ответ:

объем куба равен 64 дм³

Пошаговое объяснение:

Приложения:
Вас заинтересует