• Предмет: Математика
  • Автор: tykrotatop
  • Вопрос задан 3 года назад

Срочно! даю баллы!!!​

Приложения:

Ответы

Ответ дал: ya2ya
1

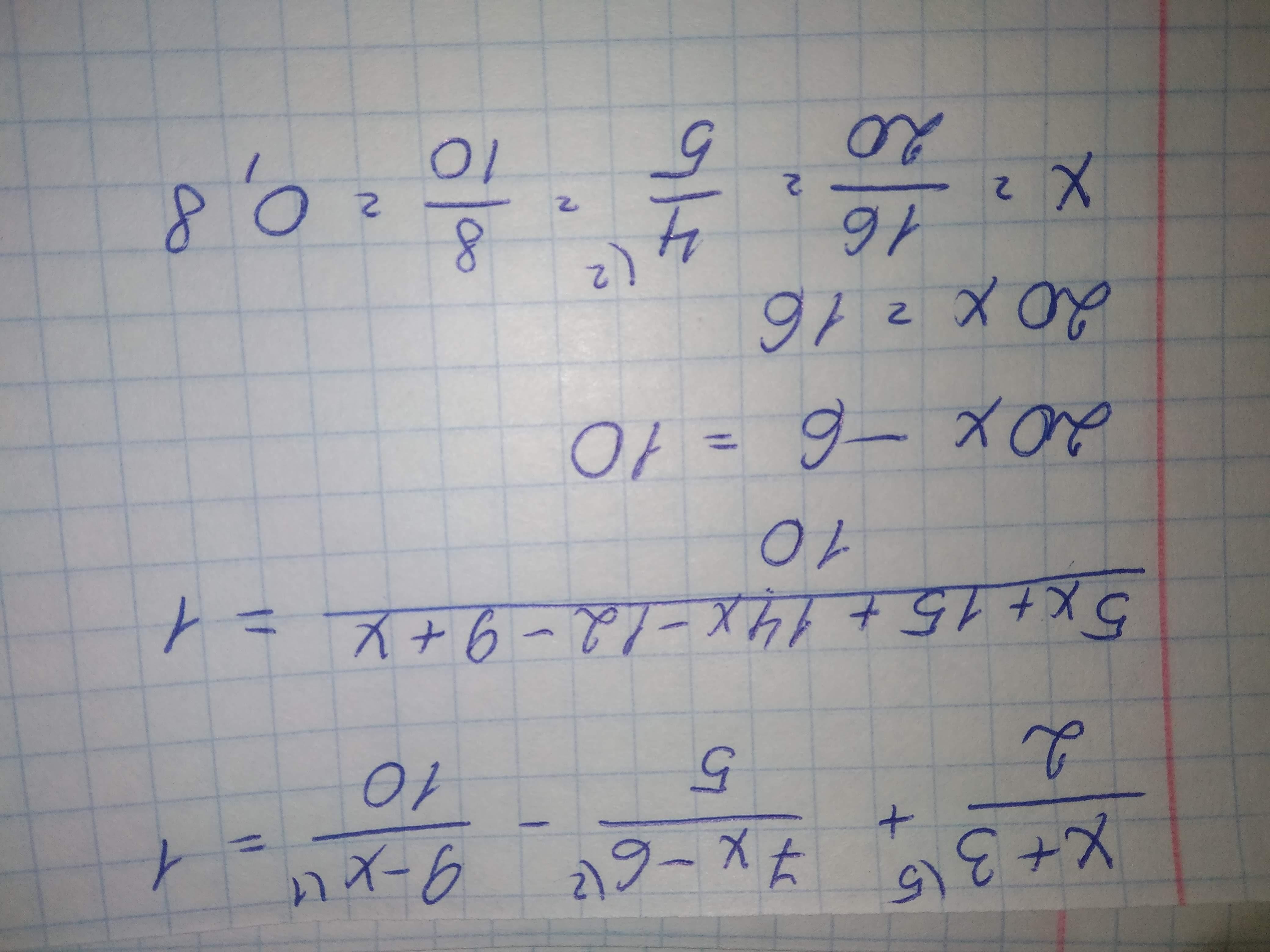
Ответ:

0,8

Пошаговое объяснение:

Приложения:
Ответ дал: aminaesanbayeva12
1

Ответ:

х=0,8

Решение на фото.............

Приложения:
Вас заинтересует