Ответы
Ответ дал:
1
Решение УРАВНЕНИЯ:
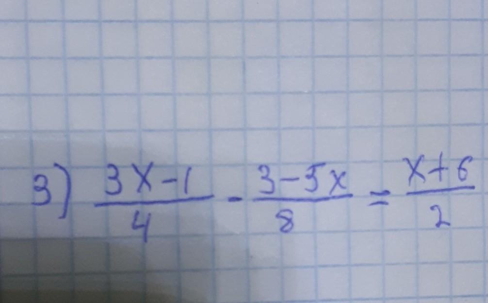
3х-1/4-3-5х/8=х+6/2=2(3х-1)-(3-5х)=4(х+6)=6х-2-3+5х=4х+24=11х-5=4х+24=11х-4х=24+5=7х=29= х=29/7
Ответ:х=29/7
3х-1/4-3-5х/8=х+6/2=2(3х-1)-(3-5х)=4(х+6)=6х-2-3+5х=4х+24=11х-5=4х+24=11х-4х=24+5=7х=29= х=29/7
Ответ:х=29/7
Вас заинтересует
2 года назад
2 года назад
3 года назад
3 года назад
8 лет назад
8 лет назад
10 лет назад
10 лет назад