• Предмет: Математика
  • Автор: MolkyWay
  • Вопрос задан 3 года назад

Нужна помощь!!! Пожалуйста помогите!!!

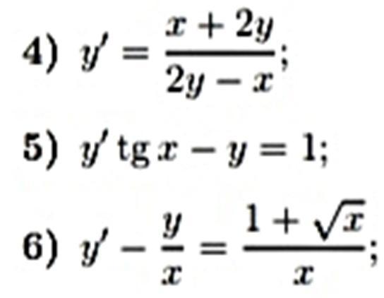
Приложения:

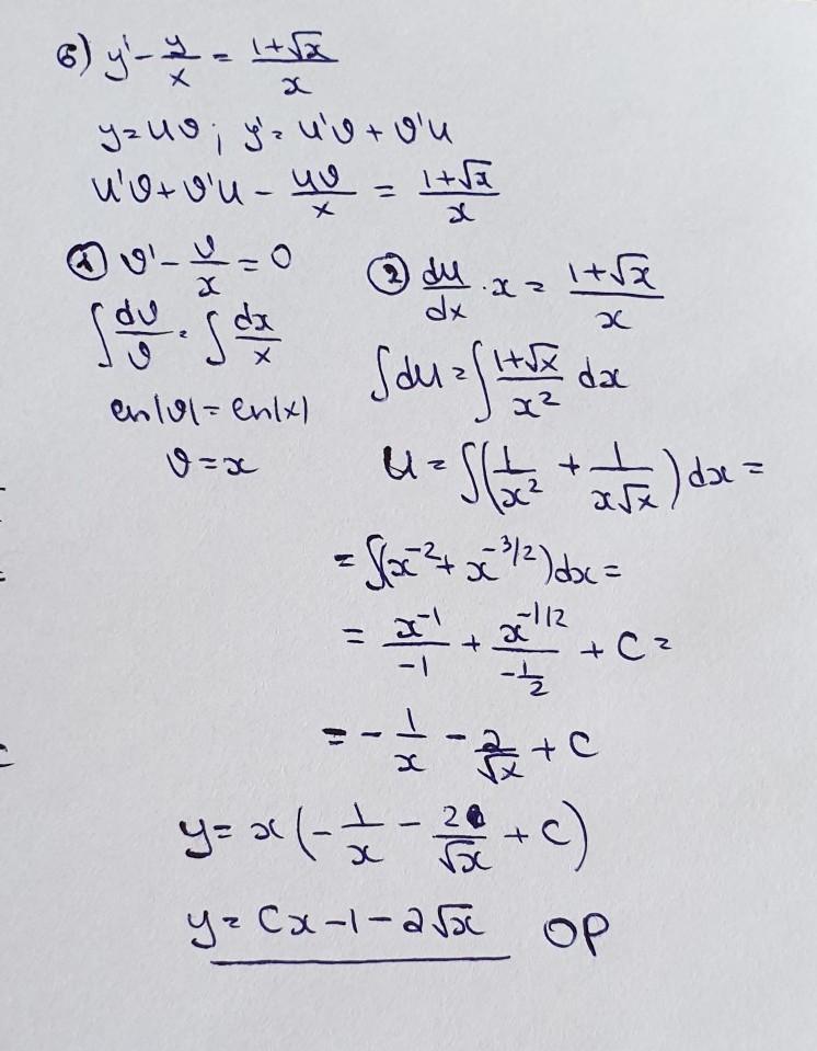
Ответы

Ответ дал: Miroslava227
1

Ответ:

решение на фотографиях

Приложения:

danasamojlova707: Можете мне помочь?.
MolkyWay: Большое спасибо вам!
Вас заинтересует