• Предмет: Химия
  • Автор: evgeniamuseva02
  • Вопрос задан 3 года назад

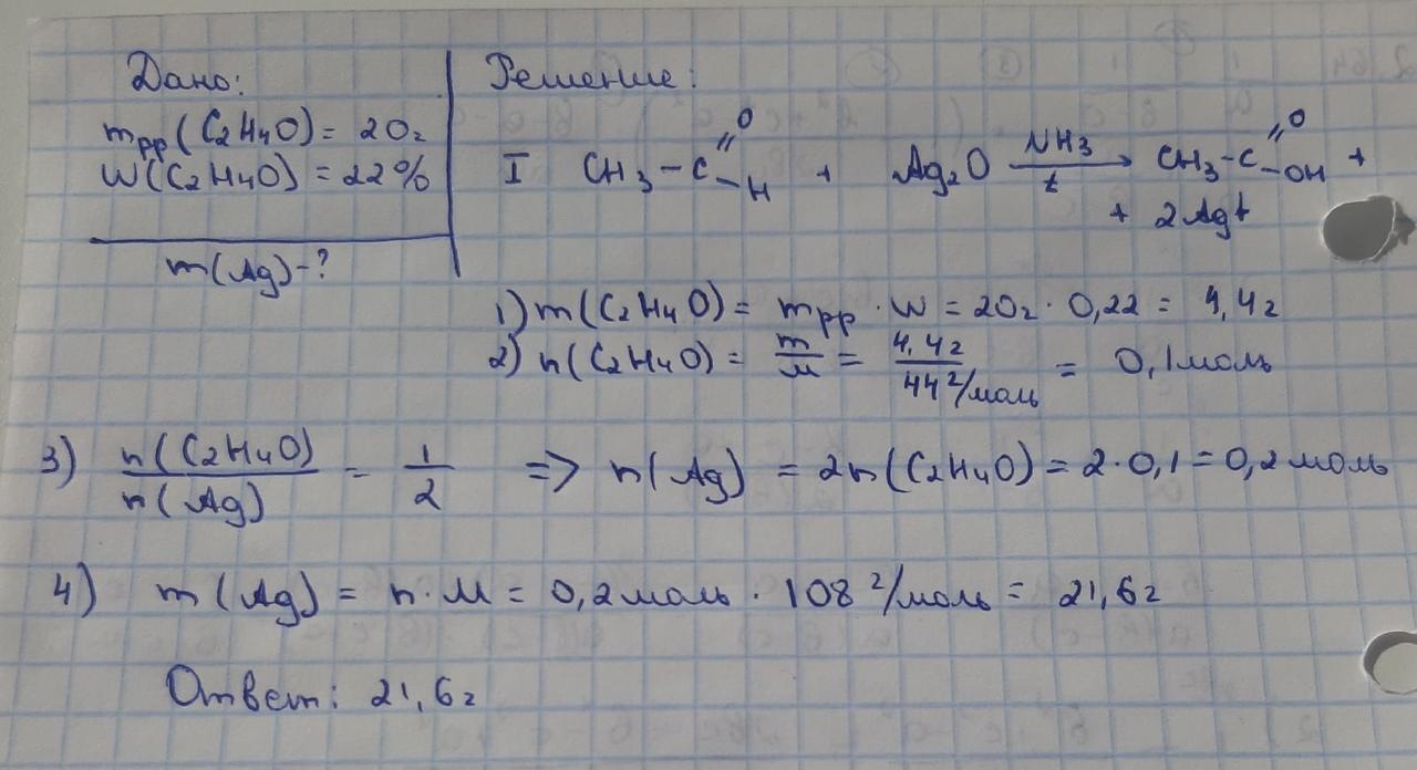
определите массу серебра полученного при взаимодействии 20г 22% раствора этаналя с оксидом серебра​

Ответы

Ответ дал: vilik870
0

решение на фото

Объяснение:

Приложения:
Вас заинтересует