• Предмет: Алгебра
  • Автор: Kamil1234
  • Вопрос задан 11 лет назад

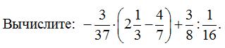
Помогите мне кто чем может плиззз

Приложения:

Ответы

Ответ дал: владсоколюк28рус
0
1. 221
2. 2825/33152
3. 1.84 
4. 8/125
5. прости не знаю :(
Ответ дал: Kamil1234
0
спасибо4
Вас заинтересует