• Предмет: Геометрия
  • Автор: vikal4693
  • Вопрос задан 3 года назад

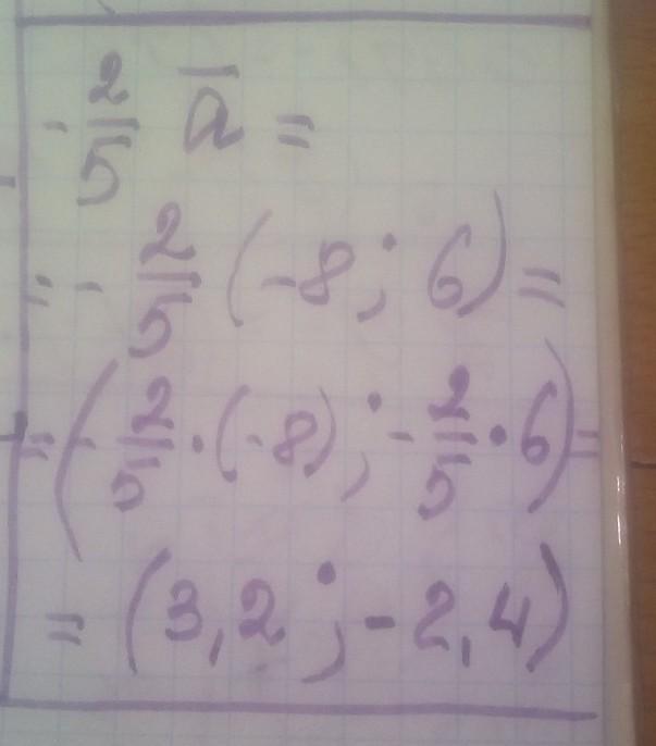
Дано вектор а (-8;6). Знайдіть довжину вектора -2/5 вектора а​

Ответы

Ответ дал: manyny06
5

Ответ:

решение смотри на фотографии

Приложения:
Вас заинтересует