• Предмет: Алгебра
  • Автор: savelyjolytron
  • Вопрос задан 3 года назад

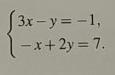
Решите систему уравнений. В ответ запишите x+y

Приложения:

Ответы

Ответ дал: abriutin
1

Ответ:

5

Объяснение:

Домножим первое уравнение на 2:

6х - 2у = -2

и сложим полученное уравнение со вторым уравнением:

6х - 2у - х + 2у = - 2 + 7

5х = 5

х = 5 : 5 = 1

Подставим полученное значение х = 1 в первое уравнение и найдём у:

3·1 - у = - 1

- у = - 1 - 3

- у = - 4

у = 4

Ответ: х + у = 1 + 4 = 5


abriutin: Спасибо за лучший ответ)))
Вас заинтересует