• Предмет: Математика
  • Автор: sandra98068
  • Вопрос задан 3 года назад

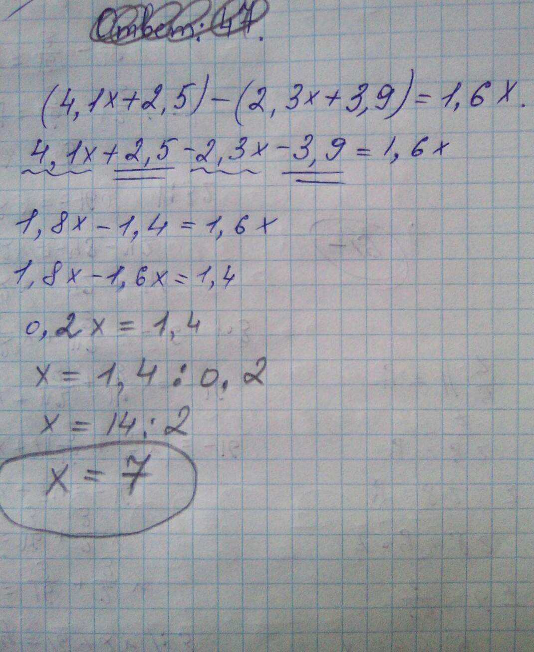
Решите уравнение (4,1x + 2,5) – (2,3x + 3,9) = 1,6x.

Ответы

Ответ дал: tatsach
8

Ответ:

Пошаговое объяснение:

4,1х+2,5-2,3х-3,9=1,6х

4,1х-2,3х-1,6х=3,9-2,5

0,2х=1,4

Х=1,4:0,2

Х=7

Ответ дал: Аноним
5

Ответ:

Решение во вложении ...

Приложения:
Вас заинтересует