• Предмет: Математика
  • Автор: ivan69ru
  • Вопрос задан 3 года назад

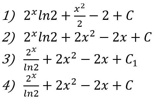
Найти первообразную функции f(x)=2^(x)+4x-2

Выбрать правильные ответы:



4 ответ подходит, но и 3 тоже похож на 4-ый ответ, только там C1 написано в конце. Кто разбирается, подскажите 3 вариант ответа равен 4, или должно в конце быть просто C и по другому никак?

Приложения:

Ответы

Ответ дал: vaigantsofia
0

Ответ:

Для функции f(x)=3x^2-4x+1 найти первообразную, график которой проходит через точку N(-1;5)

Пошаговое объяснение:

F(x)=`3x³/3-4x²/2+1x+C

F(x)=`x³-2x²+x+C

5=`(-1)³-2(-1)²+(-1)+C

5=-1-2-1+C

C=9 , F(x)=`x³-2x²+x+9

Вас заинтересует