• Предмет: Алгебра
  • Автор: itstaniy
  • Вопрос задан 3 года назад

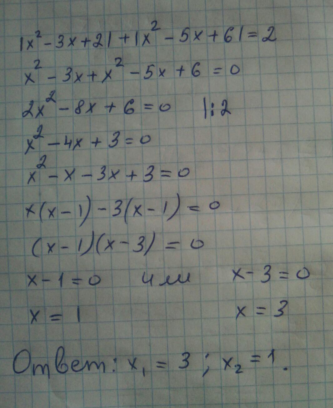
|х²-3х+2|+|х²-5х+6|=2 СРОЧНО решение подробно пожалуйста​

Ответы

Ответ дал: Аноним
1

Ответ:

----------------------------

Приложения:
Вас заинтересует