• Предмет: Математика
  • Автор: sabinauzakpaeva729
  • Вопрос задан 3 года назад

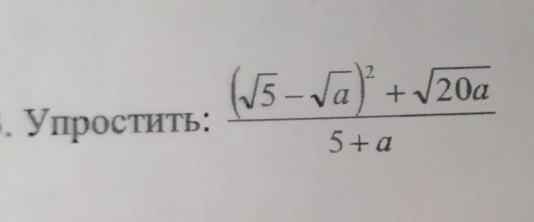
упростите выражение,буду благодарна за помощь ​

Приложения:

Ответы

Ответ дал: paporotnik72
1

Ответ:

1

Пошаговое объяснение:

(√5-√а)²+√20а/5+а

раскрыть скобки

5-2√5а+а+√20а/5+а

преобразить части

5+а-2√5а+2√5а/5+а

сократить

5+а/5+а

=1

Вас заинтересует