• Предмет: Алгебра
  • Автор: kdv2007s
  • Вопрос задан 3 года назад

Помогите с заданием
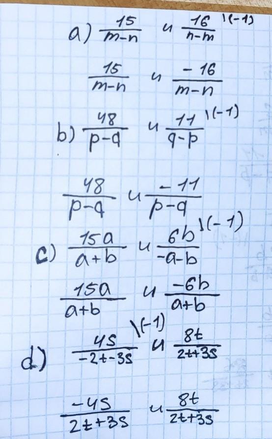
Преобразуйте заданные пары алгебраических дробей так, чтобы получились дроби с одинаковыми знаменателями

Приложения:

Ответы

Ответ дал: mamamasha84959699498
0

Объяснение:

тут скорее всего верное решение

Приложения:
Вас заинтересует